• Предмет: Математика
  • Автор: polinanaidenko201014
  • Вопрос задан 3 года назад

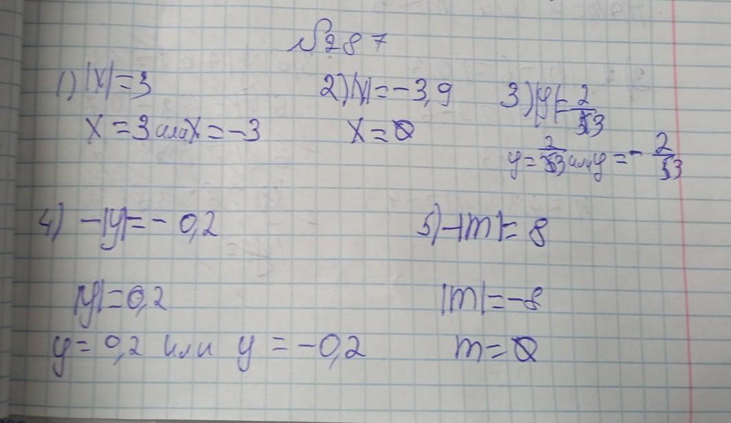
287. Решите уравнения: 1) |x| = 3; 3) y 5) -|m| = 8; 2) |x| = -3,9; 4) -y = -0,2; 6) |-|- 6; 288. Решта 2 7) --* = -0,9; 8) - x = -7. 5) [m/. Помогите пж дам много балов ​

Ответы

Ответ дал: tuyakbayevazere
6

в некоторых примерах нет решения ведь из модуля не выйдет отрицательное число только положительное

Приложения:

polinanaidenko201014: спасибо
tuyakbayevazere: пожалуйста
zlobingleb13: тут неправильно
Вас заинтересует