• Предмет: Алгебра
  • Автор: illia82
  • Вопрос задан 3 года назад

Пожалуйста помогите решить пример очень нужно только покажите как решать даю 45 баллов

Приложения:

Ответы

Ответ дал: parus77
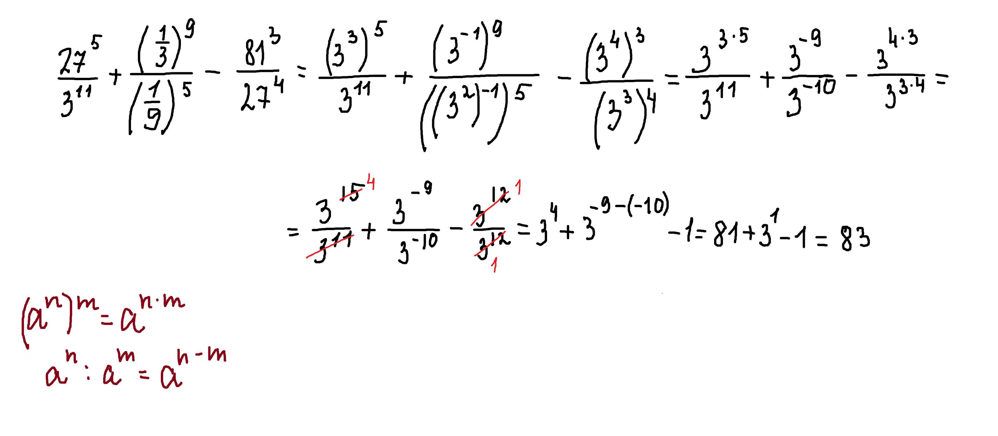
0

Ответ:

83

Объяснение:

решение внизу

там же таблица степеней числа 3

Приложения:
Вас заинтересует