• Предмет: Алгебра
  • Автор: murraayy2009
  • Вопрос задан 3 года назад

50 БАЛЛОВ помогите.
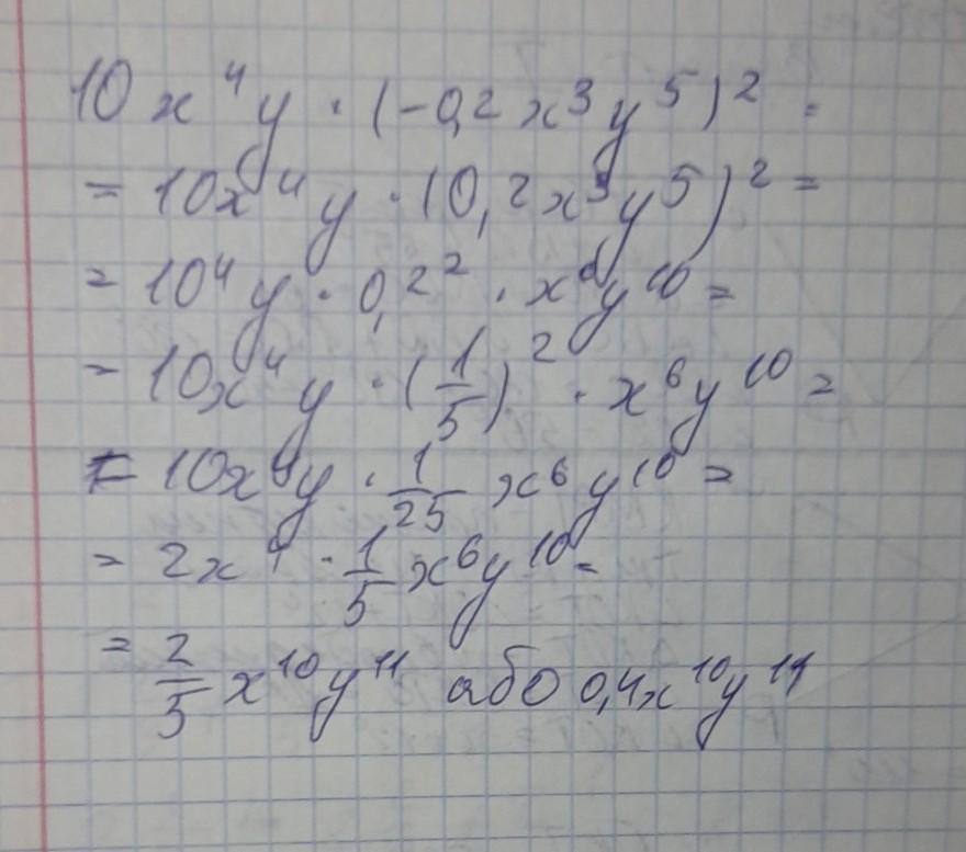
Спростіть вираз.
Пипец...​

Приложения:

Ответы

Ответ дал: jixiolp
1

Ответ:

2/5 x¹⁰ y¹¹

или

0,4x¹⁰ y¹¹

Приложения:

murraayy2009: Извини, объясни как ты это решил пожалуйста!
jixiolp: ща
jixiolp: глянь мой ответ я прекрепил фото
murraayy2009: большое спасибо!!)
jixiolp: пожалуйста
Вас заинтересует