• Предмет: Алгебра
  • Автор: diarabdimelik2
  • Вопрос задан 3 года назад

помогите пожалуйста срочно алгебра даю 30 баллов​

Приложения:

Ответы

Ответ дал: NNNLLL54
0

Ответ:

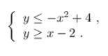
Какой системой неравенств задана нарисованная область ?

 Прямая проходит через точки (2;0) и (0;-2) , то есть это прямая  у=х , сдвинутая вдоль оси ОУ вниз на 2 единицы . Значит, она задаётся  уравнением  у = х - 2 .

У параболы  ветви направлены вниз ,значит коэффициент перед x² будет отрицательный . Заданная парабола - это парабола у= -x² , которая сдвинута вдоль оси ОУ вверх на 4 единицы . Поэтому её уравнение будет  y = -x² + 4 .

Область , находящаяся внутри параболы и выше прямой, задаётся  системой неравенств   \left\{\begin{array}{l}y\leq -x^2+4\ ,\\y\geq x-2\ .\end{array}\right    

Приложения:

diarabdimelik2: фото есть?
NNNLLL54: фото чего?
diarabdimelik2: ответа
diarabdimelik2: я не понял что ты написал
NNNLLL54: см. скрин
diarabdimelik2: мхм
diarabdimelik2: есть?
Вас заинтересует