Ответы
Ответ дал:
2
Ответ: 219 + 481 + 537 = 1237
Пошаговое объяснение: 219 + 481 = 700
700 + 537 = 1237
zhukovaviktoriaa09:
(537 + 219) + 481 = (219 + 481) + 537 = 700 + 537 = 1237.
Ответ дал:
0
(537+219)+481=1237
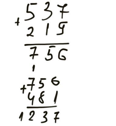
1) 537+219 (обрахунок у стопчик прикріплено нижче)
2) 756+481 (обрахунок у стовпчик, також прикріплено нижче)
1) 537+219 (обрахунок у стопчик прикріплено нижче)
2) 756+481 (обрахунок у стовпчик, також прикріплено нижче)
Приложения:

Вас заинтересует
2 года назад
2 года назад
2 года назад
7 лет назад
7 лет назад
9 лет назад