• Предмет: Математика
  • Автор: wellmorepp
  • Вопрос задан 3 года назад

СРОЧНО ПОЖАЛУЙСТА!!!

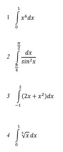
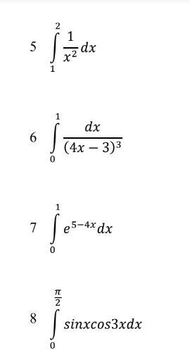
Приложения:

Ответы

Ответ дал: tiletaevaira
0

Ответ:

2 3-// do

5//4=10098532 3.


wellmorepp: !?!?
Вас заинтересует