• Предмет: Алгебра
  • Автор: kucikula261
  • Вопрос задан 3 года назад

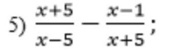
x+5/x-5 - x-1/x+5 помогите пожалуйста срочноо​

Приложения:

Ответы

Ответ дал: sergeevaolga5
1

Ответ:

\frac{4(4x+5)}{(x-5)(x+5)}

Объяснение:

\frac{x+5}{x-5}-\frac{x-1}{x+5}=\frac{(x+5)^2-(x-1)(x-5)}{(x-5)(x+5)}=\frac{x^2+10x+25-(x^2-6x+5)}{(x-5)(x+5)}=\\\\=\frac{x^2+10x+25-x^2+6x-5}{(x-5)(x+5)}=\frac{16x+20}{(x-5)(x+5)}=\frac{4(4x+5)}{(x-5)(x+5)}

Вас заинтересует