а).
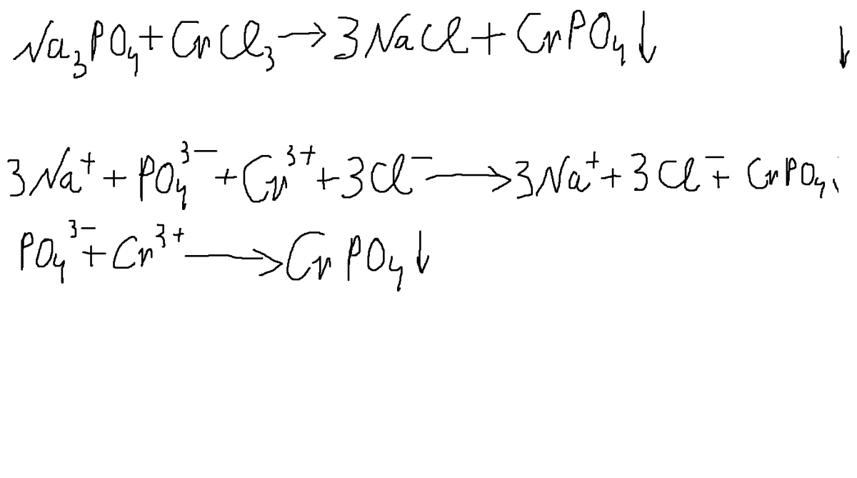
Напишите уравнение в молекулярной, полной и сокращённой ионной формах: CrCl3+
Na3PO4 →
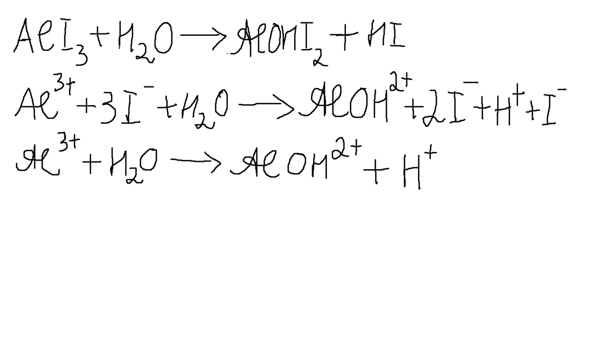
б). Напишите молекулярные и ионные уравнения реакций
гидролиза, протекающего в растворе соли AlI3. При возможности
нескольких ступеней гидролиза, ограничьтесь первой стадией процесса.
буду признателен
Ответы
Ответ дал:
0
CrCl3+Na3PO4=CrPO4+3NaCl
Cr+3Cl+3Na+PO4=CrPO4+3Na+3Cl
Cr+PO4=CrPO4
AlCl3+H2O=Al(OH)3+HCl
1 ступень: AlCl3+H2O=AlOHCl2+HCl
Cr+3Cl+3Na+PO4=CrPO4+3Na+3Cl
Cr+PO4=CrPO4
AlCl3+H2O=Al(OH)3+HCl
1 ступень: AlCl3+H2O=AlOHCl2+HCl
Ответ дал:
0
Тут на каждом молекулярное и два ионных
Приложения:
Вас заинтересует
3 года назад
3 года назад
11 лет назад
11 лет назад