• Предмет: Алгебра
  • Автор: Аноним
  • Вопрос задан 3 года назад

Срочно Алегбра, умоляю, кто может одно задание тому + 60 баллов.

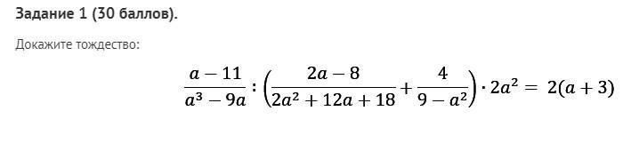
Докажите тождество:

Приложения:

Аноним: С решением желательно подробным!!!!!!

Ответы

Ответ дал: manyny06
1

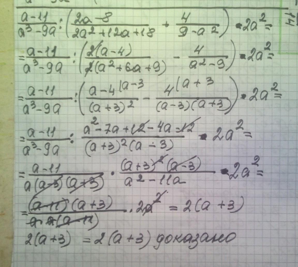
Ответ:

решение смотри на фотографии

Приложения:

Аноним: огромное спасибо
Аноним: За физику шаришь? Если да то помоги срочно там много баллов у меня последнее задание!
Вас заинтересует