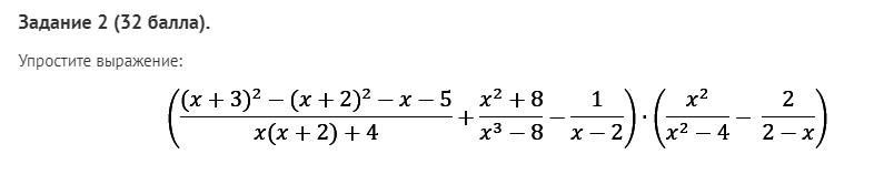
Срочно, алгебра, упростить выражение: + 30 баллов
Приложения:

Аноним:
С решением желательно подробным!!!!!!
Ответы
Ответ дал:
2
Ответ:
1
------------ ответ держи решение найдёшь с помощью фото иэз
х+2
Вас заинтересует
2 года назад
2 года назад
2 года назад
7 лет назад
7 лет назад
9 лет назад
9 лет назад