• Предмет: Алгебра
  • Автор: QuussZ
  • Вопрос задан 3 года назад

Помогите пожалуйста с примером срочно много баллов ​

Приложения:

Ответы

Ответ дал: manyny06
0

Ответ:

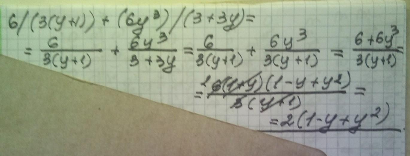
решение смотри на фотографии

Приложения:
Ответ дал: seidovagulshan
0
Ответ:

2у^2-2у+2

Пошаговое объяснение:

решение и ответ на фотографии.
Приложения:

seidovagulshan: можно пожалуйста лучший ответ?
Вас заинтересует