• Предмет: Физика
  • Автор: NastiaMordas
  • Вопрос задан 3 года назад

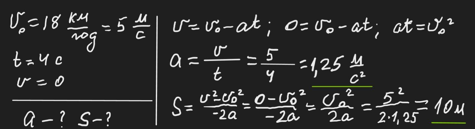
Тролейбус, рухаючись зі швидкістю 18 км/год, зупинився за 4 с. Визначте прискорення його руху та гальмівний шлях тролейбуса

Ответы

Ответ дал: zybkov1950
4

Відповідь: Див. додаток

Пояснення:

Приложения:
Вас заинтересует