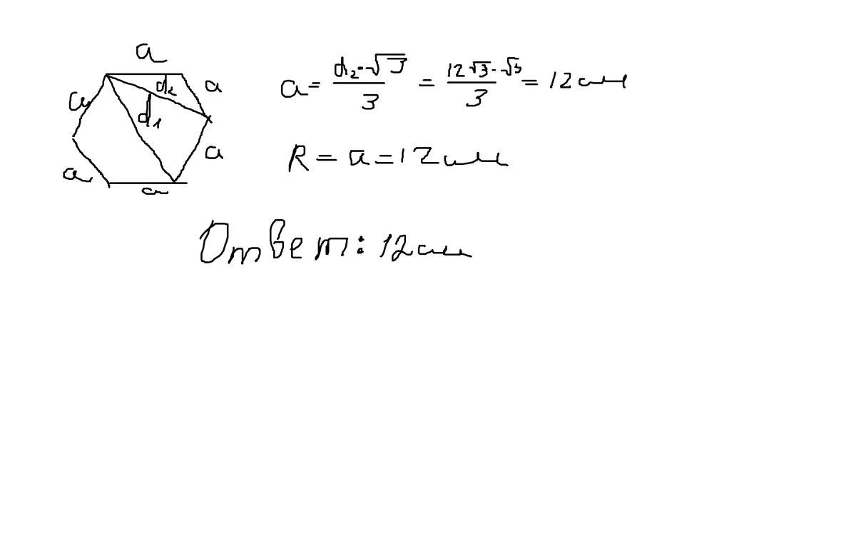
найдите радиус окружности, описанной около правильного шестиугольника, если его меньшая диагональ равна 12 корней из 3
Ответы
Ответ дал:
0
Решение во вложениях))))) удачи на занятиях
Приложения:

Вас заинтересует
2 года назад
2 года назад
8 лет назад
8 лет назад
10 лет назад
10 лет назад