• Предмет: Геометрия
  • Автор: mykolakalutsky
  • Вопрос задан 3 года назад

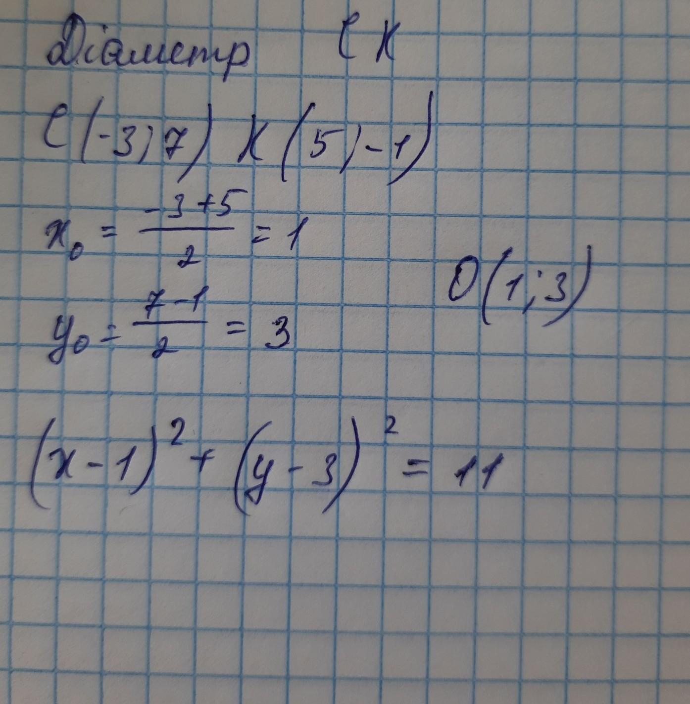
скласти рівняння кола діаметром якого є відрізок С(-3;7) К(5;-1)​

Ответы

Ответ дал: sashastarwortI
1

Ответ:

на фото відповідь і розв'язок

Объяснение:

натиснеш на сердечко і на зірочку, якщо відповідь сподобалася, дякую)

Приложения:
Вас заинтересует