Ответы
Ответ дал:
0
Ответ: -12+3
-18-12
Объяснение:(2*-6)+3
(3*-6)-4*3
Ответ дал:
1
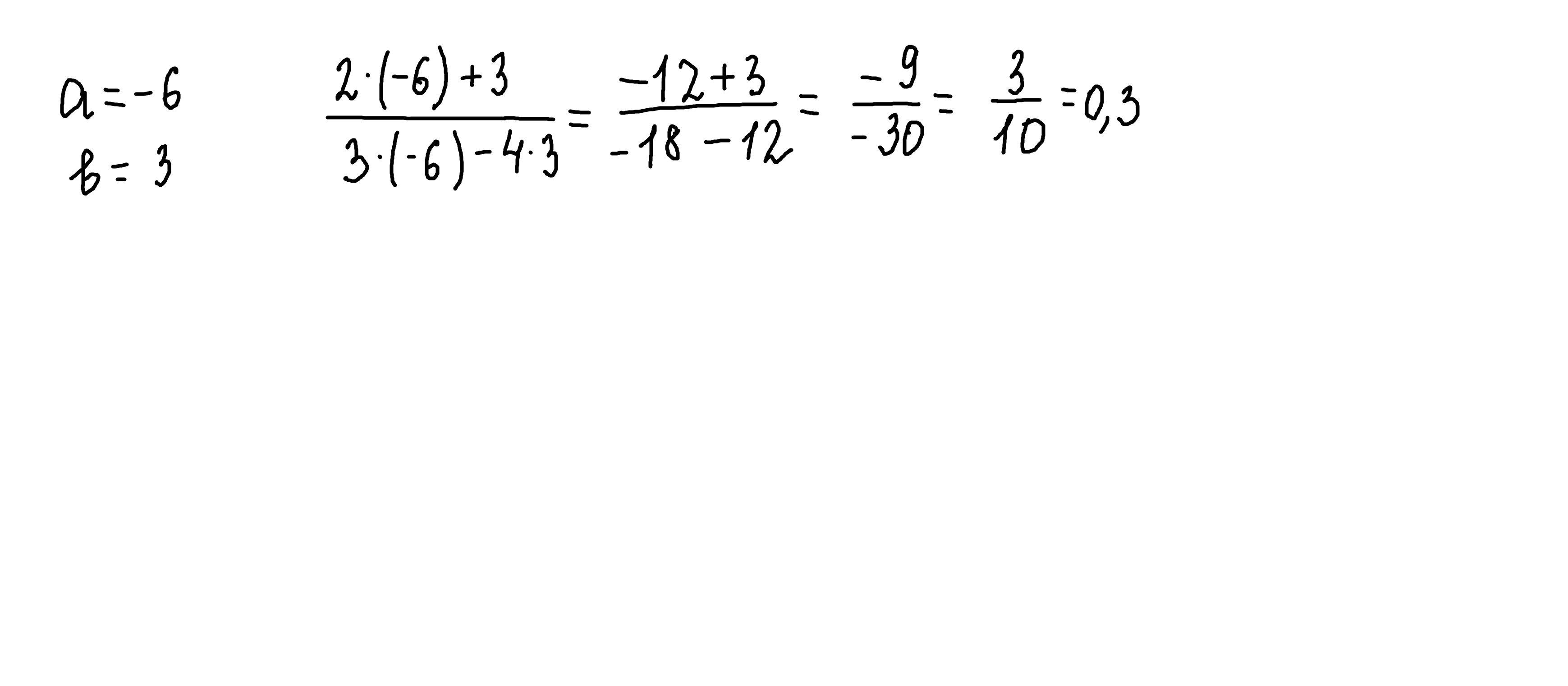
Ответ:
0,3
Объяснение:
решение внизу
Приложения:

Аноним:
Можете мне помоч пж
Вас заинтересует
2 года назад
2 года назад
2 года назад
2 года назад
7 лет назад
7 лет назад
9 лет назад