• Предмет: Алгебра
  • Автор: flourz
  • Вопрос задан 3 года назад

помогите плиз, лёгкое задание, лёгкие балы

Приложения:

Ответы

Ответ дал: AstralGuardian
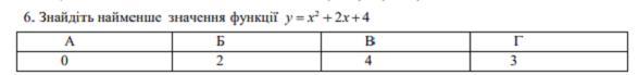
1

Ответ: (Г) 3

Объяснение:

y =  {x}^{2}  + 2x + 4

Графиком является парабола, ветви которой направлены вверх (т. к. коэффициент при x² = 1>0). Наименьшего значения функция достигает в вершине параболы.

y = a {x}^{2}  + bx + c = a {(x - m)}^{2}  + n

m и n - координаты вершины

Выделим в правой части полный квадрат:

y = ( {x}^{2}  + 2x + 1) + 3

y =  {(x + 1)}^{2}  + 3

Координаты точки минимума: (-1;3)

Наименьшее значение функции: y = 3

Ответ: (Г) 3

Вас заинтересует