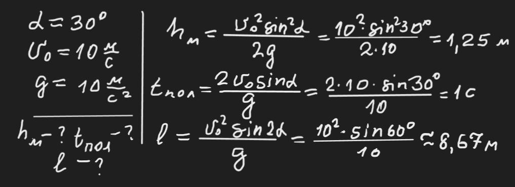
М'яч кинуто під кутом 30° до горизонту з початковою швидкістю 10м/с.Визначте висоту піднімання, а також час і дальність польоту м'яча.
Пимогите пж срочно надо
Ответы
Ответ дал:
7
Відповідь: Див. додаток
Пояснення:
Приложения:

Вас заинтересует
2 года назад
2 года назад
2 года назад
7 лет назад
9 лет назад