• Предмет: Алгебра
  • Автор: sofiaberezak6
  • Вопрос задан 3 года назад

допоможіть даю 50б!!​

Приложения:

Ответы

Ответ дал: Pavluk23
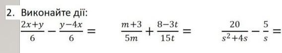
3
1.x
2.9t+8m
______
15 mt
3. - 5
___
s+4
Вас заинтересует