• Предмет: Алгебра
  • Автор: smokerbreathe
  • Вопрос задан 3 года назад

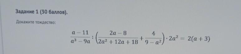
даю все баллы помогите ​

Приложения:

Ответы

Ответ дал: sshiki
1

Объяснение:

для начала определи область допустимых значений ОДЗ : a≠0, - 3, 3, 11

далее преобразуй первую часть уравнения (то есть левую до равно) и получится :

a-11/a(a^2-9)/(2(a-4)/2(a+3) ^2+4/(3-a)*(3+a))*2a^2=2(a+3)

далее где нужно скоратим 2

и разберём на множители (a^2-9) потом нужно будет в самом начале сократить a и a^2 (это которая в конце перед равно)

после всех этих махинаций в выражении в больших скобках записываем все числители под общим знаменателем (3-a)(a+3)^2

упрощаем его там же и раскрываем 4 ( то есть умножаем на каждый член)

что нужно сокращаем ( а именно - 12 и +12 и приводим подобный члены это будут : 3а и две 4а в итоге должно быть 11а)

что в общем итоге имеем:

a-11/(a-3)(a+3) / 11а-а^2 / (3-а)(а+3)^2 * 2а = 2(а+3)

далее знак деления меняем на умножения и 2 дробь переворачиваем

выносим общий множитель а за скобки где 11а-а^2

и выносим знак минус то есть должно быть -(а-3) и сокращаем (a+3)

далее сам сообрази где вынести минус и что посокращать.

если что знак "^" это степень а "/" деление.

Приложения:
Вас заинтересует