• Предмет: Алгебра
  • Автор: neidzasranec360
  • Вопрос задан 3 года назад

Помогите пожалуйста дам 70 баллов
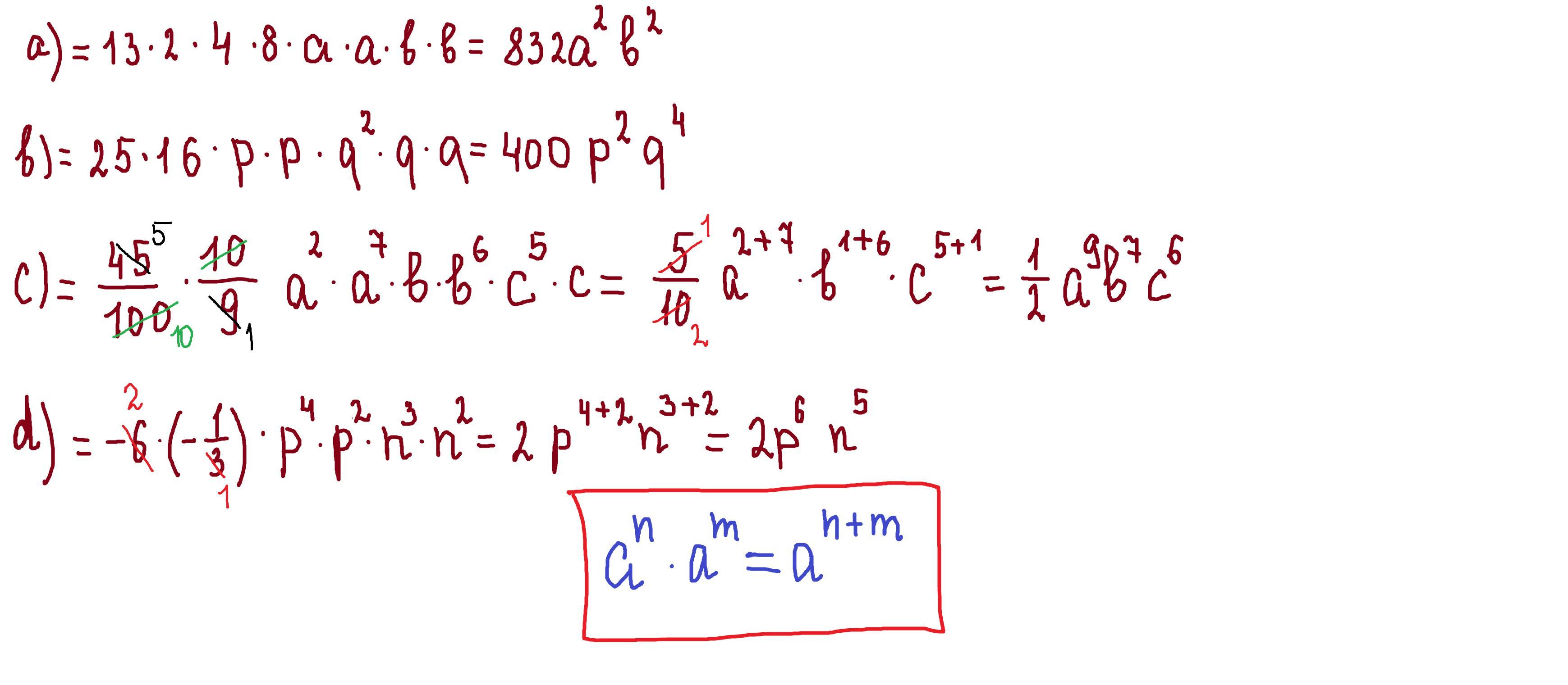
Задание . Представьте выражение в виде одночлена стандартного вида:

Приложения:

Ответы

Ответ дал: parus77
1

Ответ:

Объяснение:

решение внизу

Приложения:
Вас заинтересует