• Предмет: Алгебра
  • Автор: mafloypersik
  • Вопрос задан 3 года назад

ХЕЛП ПЖ УМОЛЯЮ ДАМ МАКС БАЛОВ​

Приложения:

Ответы

Ответ дал: akunaj488
0

Ответ:

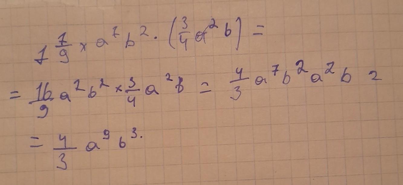
там кр с краю не 2 а ровно и думаю норм???

Приложения:
Ответ дал: ildar502020
0

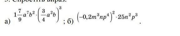
Ответ:  a)  3/4 *a¹³b⁵.

б) m⁶n⁴p¹¹.

Объяснение:

a)  1 7/9 a⁷b² *(3/4)³a⁶b³ = 16/9 * 27/64a¹³b⁵ = 3/4 *a¹³b⁵.

б)  (-0,2m³np⁴)² * 25n²p³= (-0.2)²(m³)²n²(p⁴)² * 25n²p³=

=0.04*m⁶n²p⁸ * 25n²p³= m⁶n⁴p¹¹.

Вас заинтересует