• Предмет: Математика
  • Автор: emmamiller200910
  • Вопрос задан 3 года назад

решите систему уравнений способом подстановки 5-6 класс
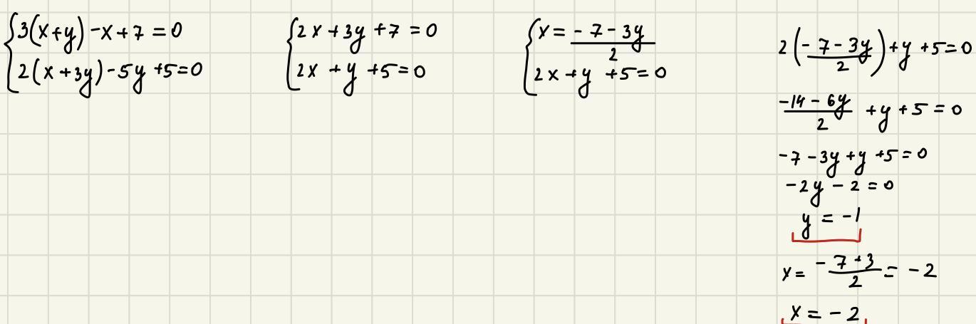
3(х+у)-х+7
2(х+3у)-5у+5

Ответы

Ответ дал: Shilkinn
1

надеюсь помог))))))))

Приложения:

emmamiller200910: Чел ты.. Шикарен. Когда будет доступна опция пометить твой ответ лучшим, сделаю
Shilkinn: не за что)
Вас заинтересует