Ответы
Ответ дал:
2
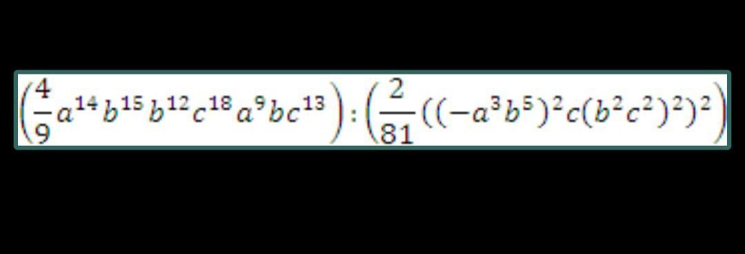
Ответ:на фото
Объяснение:
думаю помогла
Приложения:

timurrokitko:
Спасиб,да очень помогла)
Вас заинтересует
2 года назад
2 года назад
7 лет назад
7 лет назад
9 лет назад
9 лет назад