• Предмет: Алгебра
  • Автор: Wqs3
  • Вопрос задан 3 года назад

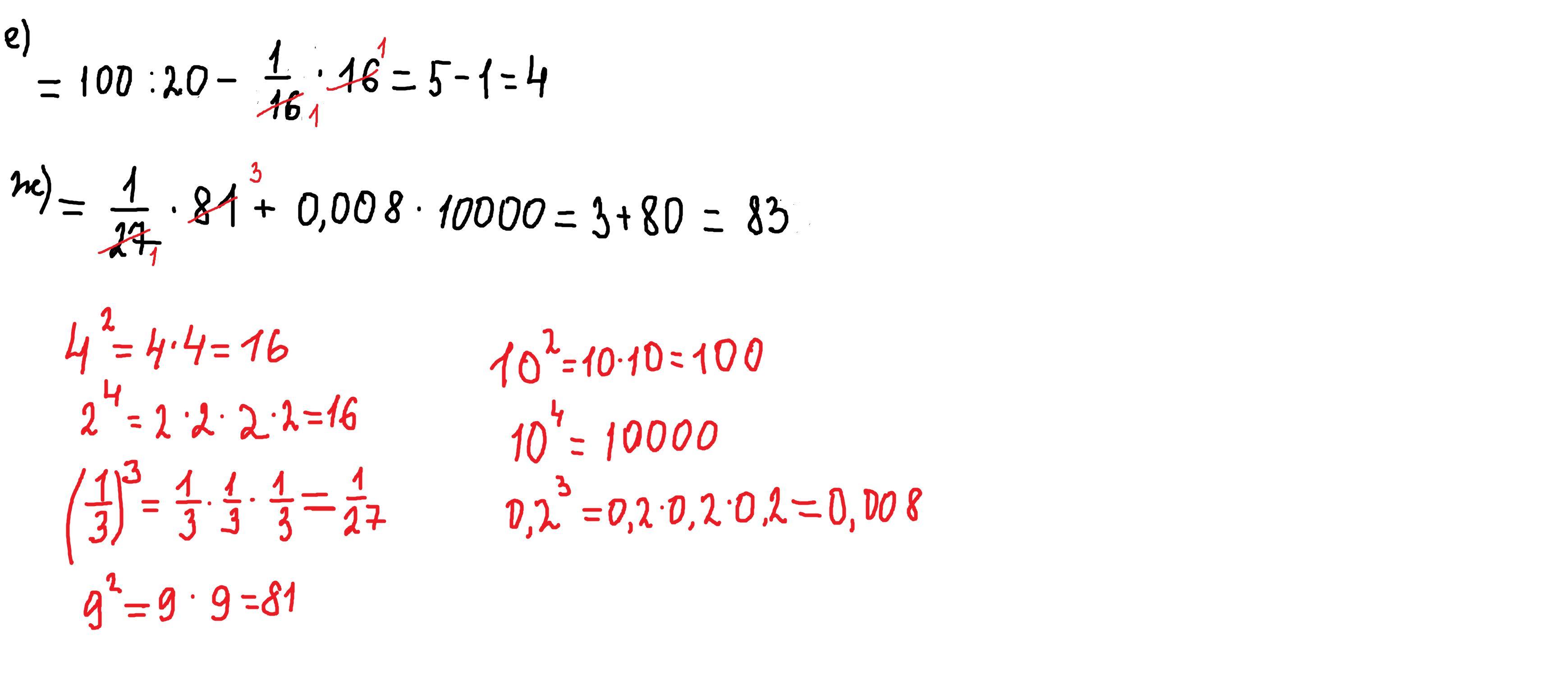
пжпжпжпжпжпжпжпжжпж только е) и ж)30 бал​

Приложения:

Ответы

Ответ дал: parus77
1

Ответ:

Объяснение:

решение внизу

Приложения:
Вас заинтересует