Ответы
Ответ дал:
1
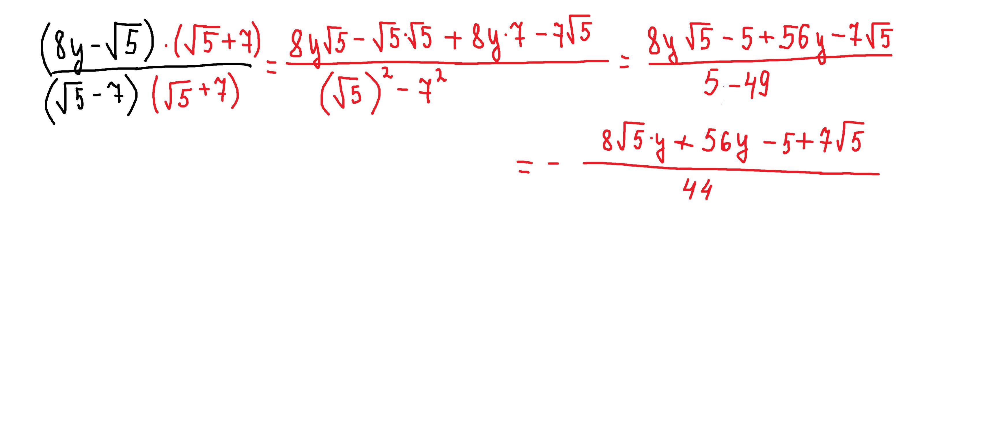
(8y-√5 / √5 -7) * √5+7 / √5 + 7 = (8y-√5)(√5+7) / 5 - 49 = (8y-√5)(√5+7) / -44
Ответ дал:
1
Ответ:
Объяснение:
решение внизу
Приложения:

Вас заинтересует
2 года назад
2 года назад
2 года назад
2 года назад
7 лет назад
9 лет назад
9 лет назад