• Предмет: Алгебра
  • Автор: polichkosofiia
  • Вопрос задан 3 года назад

Помогите решить пример пожалуйста)

Приложения:

Ответы

Ответ дал: Entity303Exe
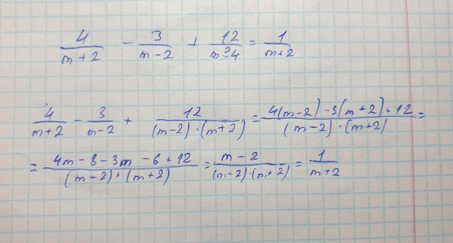
1

Ответ:

Вот надеюсь помог.

Удачи!

Приложения:

polichkosofiia: Можно с решением?
Entity303Exe: Вот я написал
polichkosofiia: Спасибо большое
Entity303Exe: пожалуйста
Вас заинтересует