• Предмет: Алгебра
  • Автор: lizapidoruch
  • Вопрос задан 3 года назад

Алгебра 8 класс помогите пожалуйста дам 40 баллов ​

Приложения:

Ответы

Ответ дал: tatanadocenko1007
1

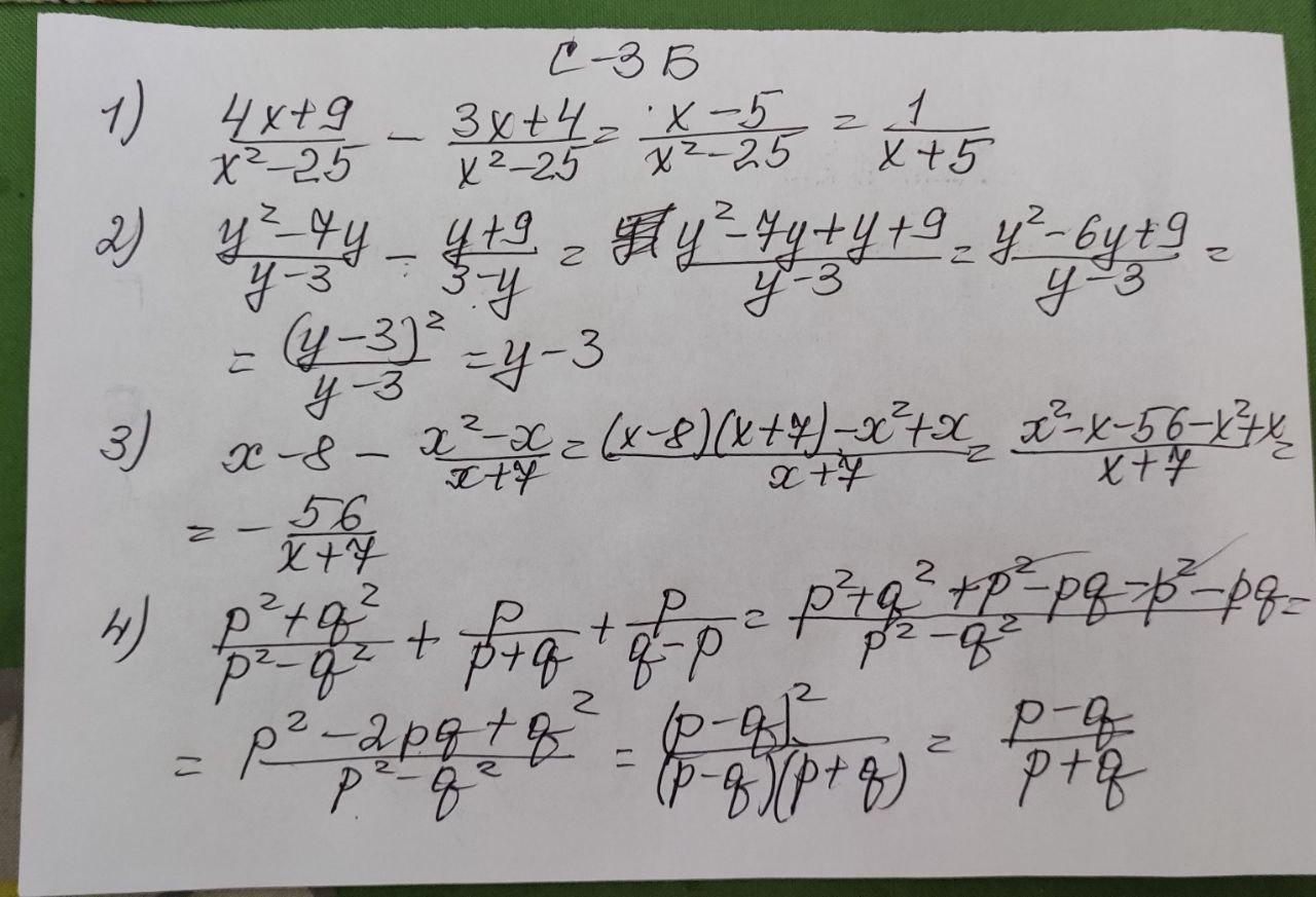
Ответ: смотри прикрепленные фото

Объяснение:

Приложения:

lizapidoruch: спасибо большое!
Ответ дал: nika827lanovets
0
Взагалі можна це розвязати за допомогою фотомеса
Приложения:
Вас заинтересует