• Предмет: Физика
  • Автор: viktoriagerasimenko1
  • Вопрос задан 3 года назад

срочно поможіть!!!!!!
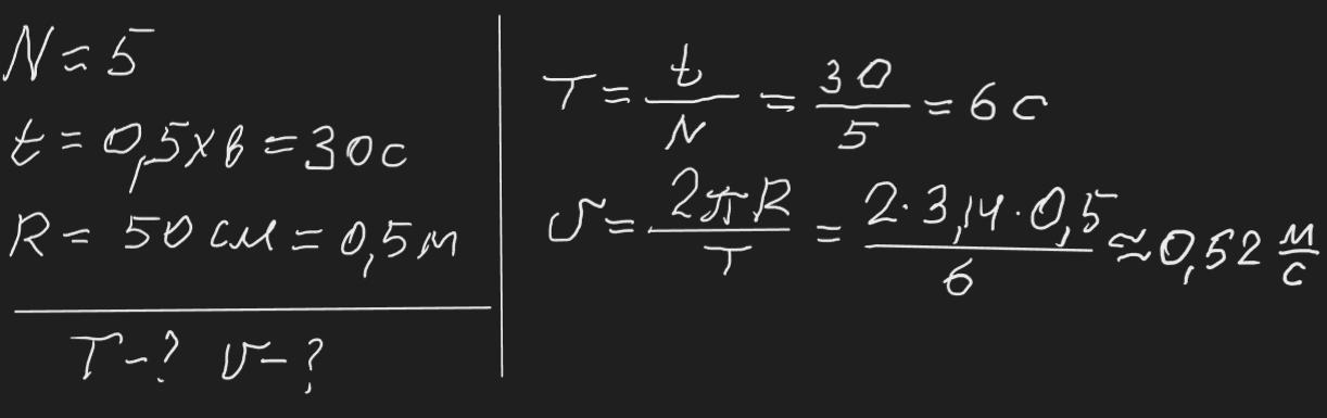
Колесо здійснює 5 обертів за 0,5 хв. Якими є період і лінійна швидкість обертання точки, віддаленої від центра диска на відстань 50 см?​

Ответы

Ответ дал: zybkov1950
2

Відповідь:  6 с      ≈0,52 м/с

Пояснення:

Приложения:
Вас заинтересует