Ответы
Ответ дал:
1
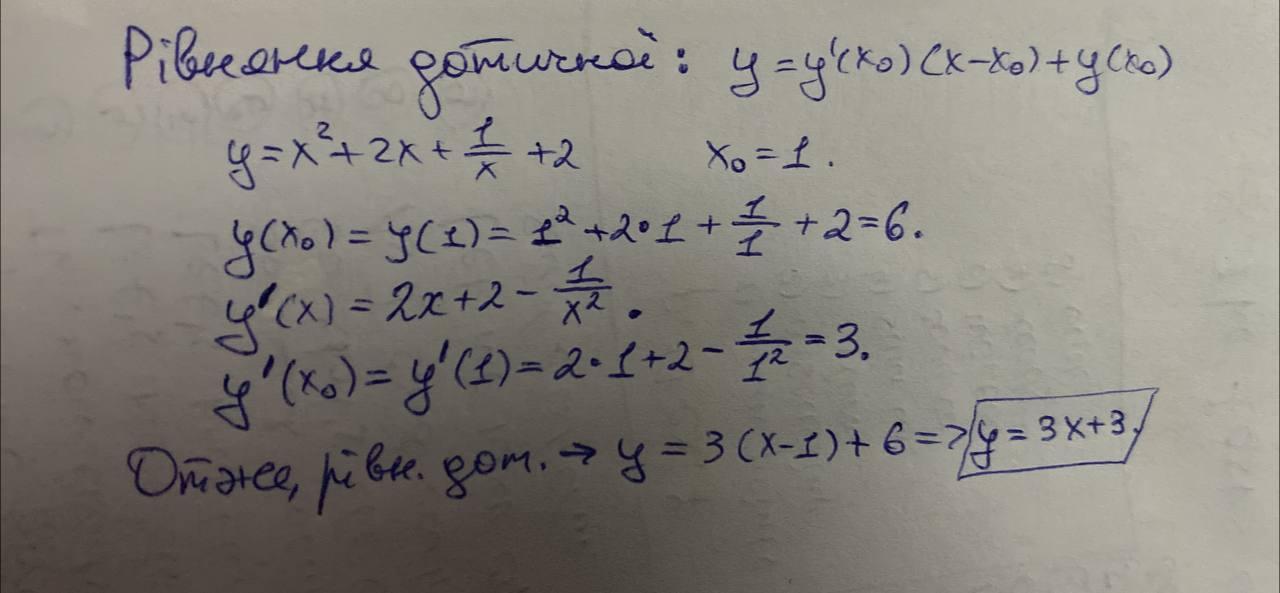
дивіться фото.................................
Приложения:

Вас заинтересует
2 года назад
2 года назад
2 года назад
2 года назад