Ответы
Ответ дал:
1
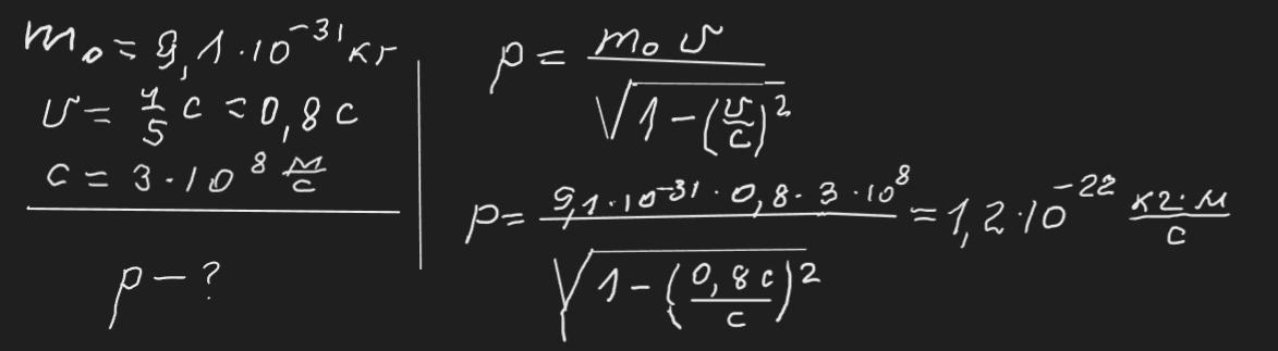
Відповідь: 1,2·10⁻²² кг·м/с
Пояснення:
Приложения:

Вас заинтересует
2 года назад
2 года назад
2 года назад
7 лет назад
7 лет назад