Допоможіть вирішити
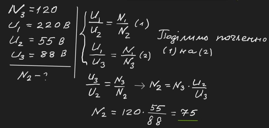
Для визначення числа витків у трансформаторі без їх вскриття на поверхню
вторинної обмотки намотали 120 витків і після ввімкнення первинної обмотки в
мережу з напругою 220 В, визначили напругу на вторинній 55 В і на вимірювальній
обмотці одержали 88 В. Визначте число витків у вторинній.
Ответы
Ответ дал:
1
Відповідь: 75
Пояснення:
Приложения:

Вас заинтересует
2 года назад
2 года назад
2 года назад
7 лет назад
7 лет назад
9 лет назад
9 лет назад