Ответы
Ответ дал:
0
Ответ:
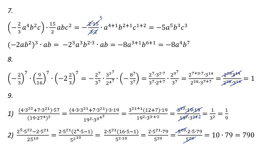
7. -5a⁵b³c³
8. -8a⁴b⁷
9. 1) 1; 2) 790
Объяснение:
Смотри во вложении
Приложения:

Вас заинтересует
2 года назад
2 года назад
2 года назад
2 года назад
7 лет назад
7 лет назад
9 лет назад