• Предмет: Химия
  • Автор: Аноним
  • Вопрос задан 3 года назад

створити електронні формули трьох елементів даю 20 балов

Ответы

Ответ дал: kindzerskijvlad858
0

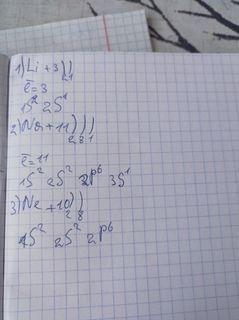
Ответ:Li+3) )

                  2 1

e=3

1S2 2S1

Na+11 ) ) )

          2 8 1

e=11

1S2 2S2 2P6 3S1

Ne=10) )

         2 8

1S2 2S2 2P6

Объяснение:

Приложения:
Вас заинтересует