• Предмет: Алгебра
  • Автор: Mytsak1
  • Вопрос задан 3 года назад

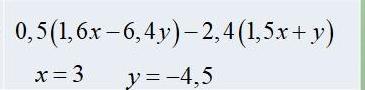
Спростіть вираз і знайдіть його значення.

Приложения:

Ответы

Ответ дал: Пеппер
1

Ответ:

16,8

Объяснение:

0,5(1,6х-6,4у)-2,4(1,5х+у)=0,8х-3,2у-3,6х-2,4у=-2,8х-5,6у=

=(-2,8*3)-(5,6*(-4,5))=-8,4+25,2=16,8

Вас заинтересует