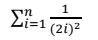
Дано натуральне число n. Обчислити. PYTHON

Приложения:

Ответы

Ответ дал: valgrisa
1

Ответ:

n=int(input('n = '))

s=0

for i in range(1,n+1):

   s+=1/(2*i)**2

print(f's = {s}')

Объяснение:

вводим значение в переменную n - n=int(input('n = '))

задаём начальное значение переменной s - s=0

используя цикл с параметром - for i in range(1,n+1):

вычисляем в нём значение суммы -  s+=1/(2*i)**2

выводим получившееся на экран - print(f's = {s}')


stasbc20: где взяли (1,n+1) и f's = {s}'
valgrisa: суммируем от i = 1 до n включительно, поэтому цикл от должен быть от 1 до n, функция range с 2 параметрами (star, stop) start - число начала последовательности (1), stop - до данного числа, но не включая его (n + 1, т.к. n надо включать)
stasbc20: спасибо
valgrisa: f-строки - добавляем перед строкой, прямо перед открывающими двойными или одинарными кавычками, букву f; можно вставлять переменные в фигурных скобках (с версии 3.6)
Вас заинтересует