• Предмет: Математика
  • Автор: polinakerlan925
  • Вопрос задан 3 года назад

СРОЧНО з поясненням даю 40балів​

Приложения:

Ответы

Ответ дал: iramazurk
0

Пошаговое объяснение:

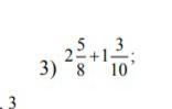
2 5/8 + 1 3/10 = 2 25/40 + 1 12/40 = 3 37/40


asemoka11052012: Ты историю знаешь?
tanakrut04: допоможи мені з моїм питанням прошу
Вас заинтересует