ПОЖАЛУЙСТА, ПОМОГИТЕ !!!
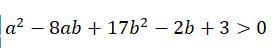
Доведіть,що при всіх дійсних значеннях змінних є правильною нерівність
Приложения:

Ответы
Ответ дал:
3
Ответ:
на фото відповідь, надіюсь допомогла)
Приложения:

Вас заинтересует
2 года назад
2 года назад
2 года назад
2 года назад
7 лет назад
9 лет назад