• Предмет: Алгебра
  • Автор: enenlenen77
  • Вопрос задан 3 года назад

Очень срочно!! 30 баллов
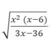
Найдите область определения функции

Приложения:

Ответы

Ответ дал: iraverholak55
0

Объяснение:

xx−6√3(x−12)3(x−12)

я не очень в этом уверена

Ответ дал: rqoqonova
0

Ответ:

x \sqrt{3 {x  }^{2} }  - 54x + 216

Вас заинтересует