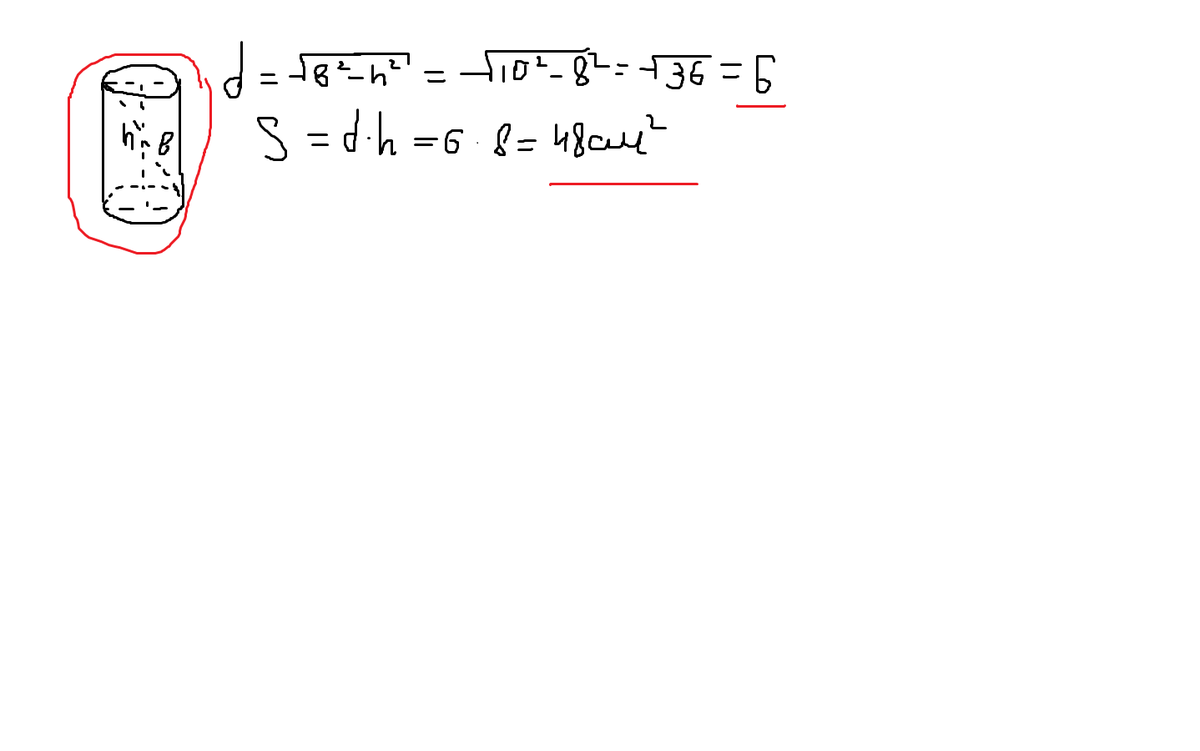
діагональ осьового перерізу циліндра дорівнює 10 см.Знайдіть площу цього перерізу ,якщо висота циліндра дорівнює 8 см
Ответы
Ответ дал:
0
Решение во вложениях...................
Приложения:

Вас заинтересует
2 года назад
2 года назад
8 лет назад
8 лет назад
10 лет назад