• Предмет: Математика
  • Автор: вадяя007
  • Вопрос задан 10 лет назад

ПОМОГИТЕ ПЛИЗ (x-1целая 2/5)/10+7целых 5/12равно 9 

Ответы

Ответ дал: RadugaandDojd
0
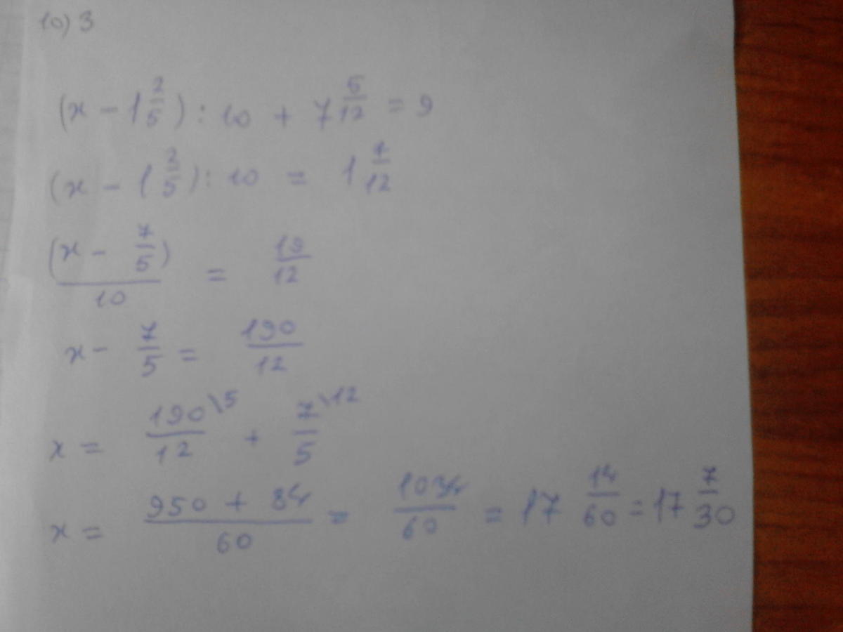
Надеюсь, видно. Дурацкий пример, если честно!
Приложения:
Ответ дал: Vickie28
0
а у меня другой ответ.
Приложения:
Ответ дал: Vickie28
0
(x-1 целая 2/5)/10 +7 целых 5/12=9 ,l*60 (домножаем на 60,общий множитель)
(12х-84)/10+445=108, домножаем на 10
12х-84+4450=1080
12х=1080+84-4450
12х=-3286
х=-273 целых 5/6
Ответ дал: Vickie28
0
ну в общем я не знаю,правильно нет,решала только что)надо проверить)
Ответ дал: Vickie28
0
блин,короче я туплю,у меня все не правильно,делай как на фото)так правильно))
Ответ дал: вадяя007
0
ок спас ты самый лучший
Ответ дал: RadugaandDojd
0
лучшая ;)
Вас заинтересует