• Предмет: Алгебра
  • Автор: staspiskunov20175
  • Вопрос задан 3 года назад

помогите дам 80 балов

Приложения:

Ответы

Ответ дал: Аноним
1

Ответ:

Объяснение:

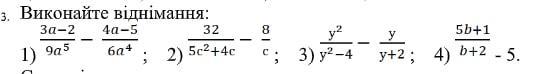
1) (3a-2)/(9a⁵) -(4a-5)/(6a⁴)=(3a-2)/(3a⁴·3a) -(4a-5)/(3a⁴·2)=(6a-4-12a²+15a)/(3a⁴·6a)=(-12a²+21a-4)/(18a⁵)

2) 32/(5c²+4c) -8/c=32/(c(5c+4)) -(40c+32)/(c(5c+4))=(32-40c-32)/(c(5c+4))=-40/(5c+4)

3) y²/(y²-4) -y/(y+2)=y²((y-2)(y+2)) -(y²-2y)/((y-2)(y+2))=(y²-y²+2y)/((y-2)(y+2))=(2y)/(y²-4)

4) (5b+1)/(b+2) -5=(5b+1-5b-10)/(b+2)=-9/(b+2)

Вас заинтересует