• Предмет: Математика
  • Автор: arman8091d
  • Вопрос задан 3 года назад

помогите пожалуйста срочно!!!!​

Приложения:

Ответы

Ответ дал: ivanh16
0

Ответ:

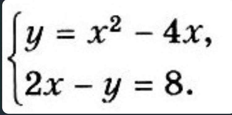
{y=x²-4x

{2x-y=8 => -y=8-2x => y=-8+2x

x²-4x=-8+2x

x²-4x-2x+8=0

x²-6x+8=0

По Дискриминанту:

D=36-4*1*8=36-32=4

x1=(6+2)/2=8/2=4

x2=(6-2)/2=4/2=2

Х нашли, находим у, просто подставив х:

подставим х1=4

y=x²-4x

y1=4²-4*4=0

подставим х2=2

у=x²-4x

y2=2²-4*2=4-8=-4

x1=4; y1=0

x2=2; y2=-4

Ответ: (4;0); (2;-4).

Вас заинтересует