Допоможіть будь ласка! Спростіть вираз:
Приложения:

emmaroz:
Який вираз?
Ответы
Ответ дал:
1
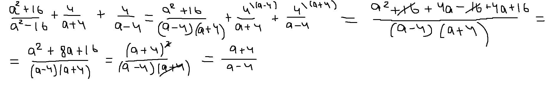
Рішення на фото, якщо є питання по рішенню виразу - пишіть
Приложения:

Ответ дал:
1
Объяснение:
Ще можна ввести заміну та розв'язати через дискримінант. Але в завданні тільки спростити вираз.
Приложения:

Вас заинтересует
2 года назад
2 года назад
7 лет назад
9 лет назад
9 лет назад