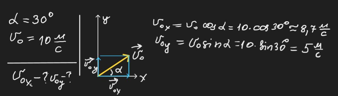
М'яч кинуто під кутом 30 градусів до горизонту з початковою швидкістю 10м\с. визначте горизонтальну і вертикальну складові початкової швидкості
Ответы
Ответ дал:
3
Відповідь: 8,7 м/с 5 м/с
Пояснення:
Приложения:
Вас заинтересует
2 года назад
2 года назад
2 года назад
2 года назад
8 лет назад
8 лет назад
9 лет назад
9 лет назад