• Предмет: Алгебра
  • Автор: mamijsofia5
  • Вопрос задан 3 года назад

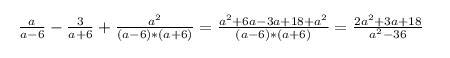
Спростите вираз!!!!: a/a-6 - 3/a+6 - a²/a²-36 ​


dimaandrienko2612: Помогите мне з Алгеброй
dimaandrienko2612: Пожалуста дам 100 б.
mamijsofia5: я сама не шарю

Ответы

Ответ дал: emeliansteoanovich
1

Скриншот с ответом ниже.

Приложения:
Ответ дал: drmi0972
0

Ответ:

вот тддкьклчш ггрлвдвос

Приложения:
Вас заинтересует