Ответы
Ответ дал:
1
Ответ:
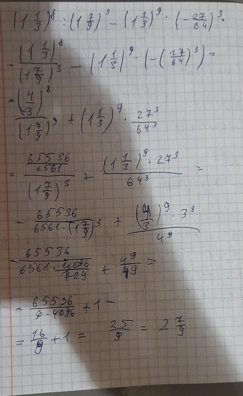
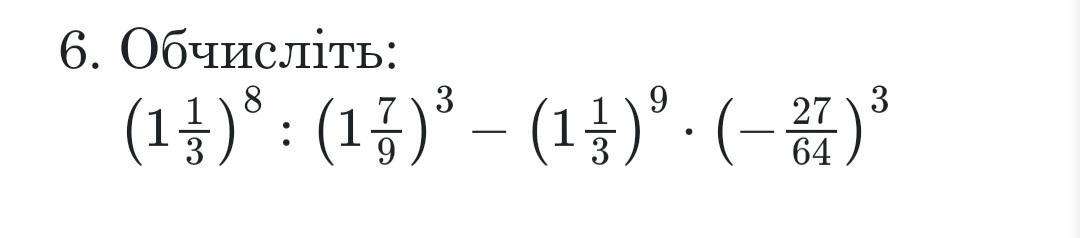
ответ смотри на фотографии
Приложения:

tovstyzenkoliza:
Спасибо!^^
Вас заинтересует
2 года назад
2 года назад
2 года назад
2 года назад
9 лет назад
9 лет назад