• Предмет: Математика
  • Автор: vasiliskabunny
  • Вопрос задан 3 года назад

помогите пожалуйста решить ❤ даю 100 баллов
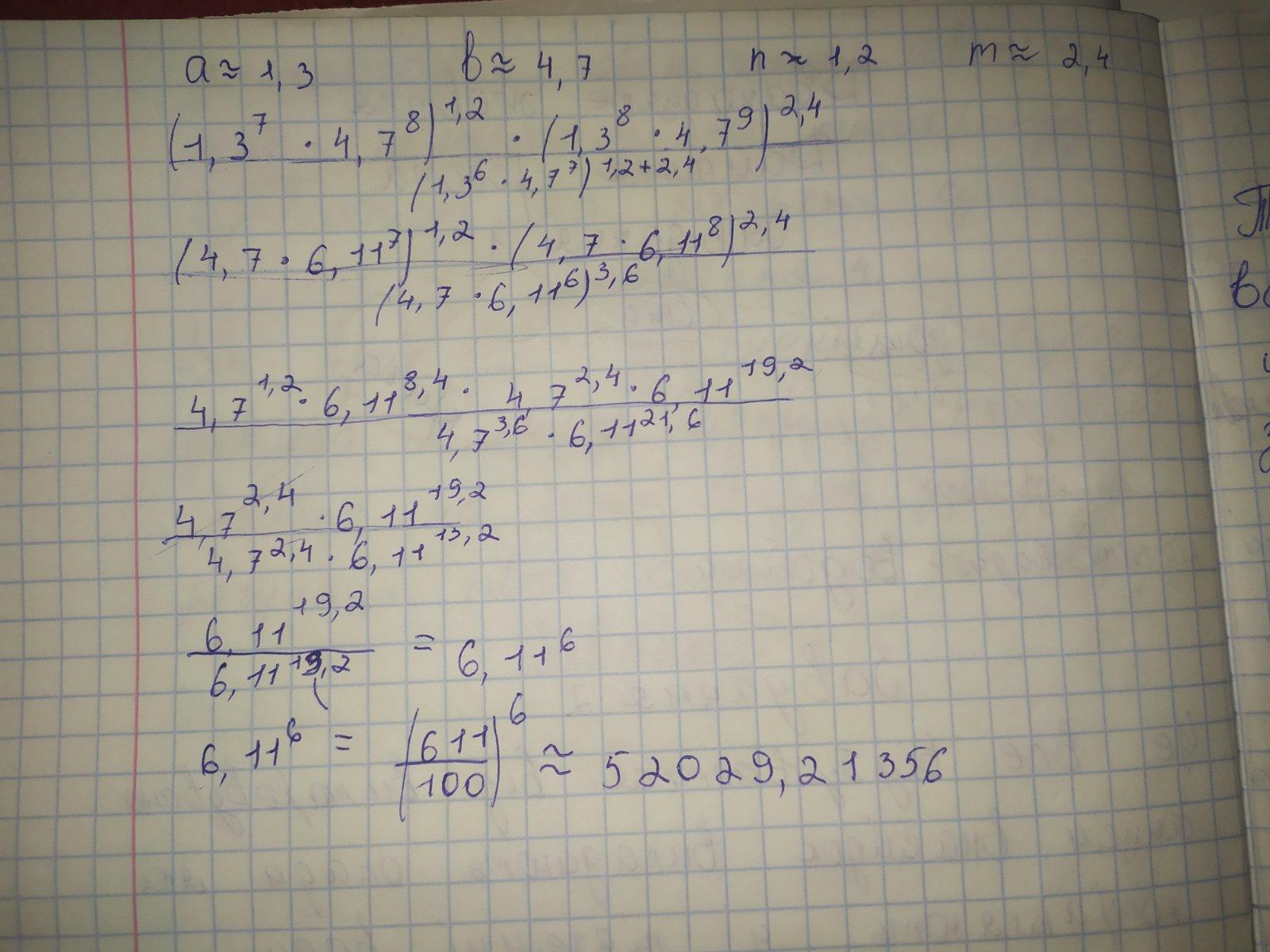
(a^7×b^8)^n × (a^8×b^9)^m/(a^6×b^7)^n+m
при a= 3 - корень из 3
b= 3 + корень из 3
n = 1.2
m = 2.4
напишите с решением пожааалуйстааа​

Приложения:

Ответы

Ответ дал: veronikaskorikova200
0

Відповідь: a=1,3   b=4,7        n=1,2      m=2,4

Покрокове пояснення:

Приложения:

veronikaskorikova200: извиняюсь 13,2 внизу
vasiliskabunny: спасибо, бро ;)
Вас заинтересует