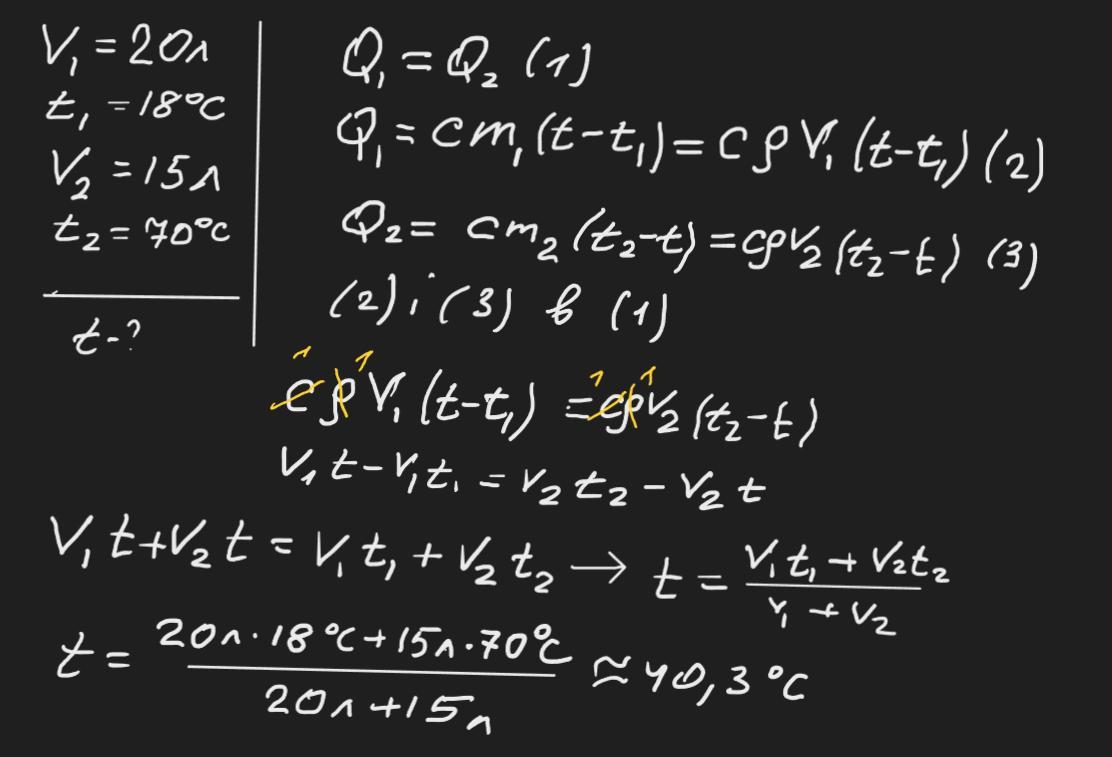
Змішали 20 л холодної води за температури 18 градусів Цельсія та 15 л гарячої за температури 70 градусів Цельсія. Визначте температуру води після змішування. Помогите пожалуйста!!!
ddee20192:
15
Ответы
Ответ дал:
1
Відповідь: ≈ 40,3 ⁰С
Пояснення:
Приложения:

Вас заинтересует
2 года назад
2 года назад
2 года назад
7 лет назад
7 лет назад
9 лет назад