• Предмет: Физика
  • Автор: evaivanina5
  • Вопрос задан 3 года назад

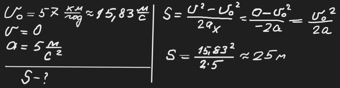
Електропоїзд, що рухався зі швидкістю 57кмгод, почав гальмувати з постійним прискоренням 5мс2. Яку відстань він пройде до повної зупинки?  ​

Ответы

Ответ дал: zybkov1950
1

Відповідь: ≈ 25 м

Пояснення:

Приложения:
Вас заинтересует