• Предмет: Физика
  • Автор: hermanbelokopitov
  • Вопрос задан 3 года назад

Який шлях пройде тіло, рухаючись зі швидкістю 18 км/год протягом 45 хвилин?

Ответы

Ответ дал: bankanikita2
0

Ответ:

1)45•18=810(м)

Відповідь: 810м

Ответ дал: zybkov1950
0

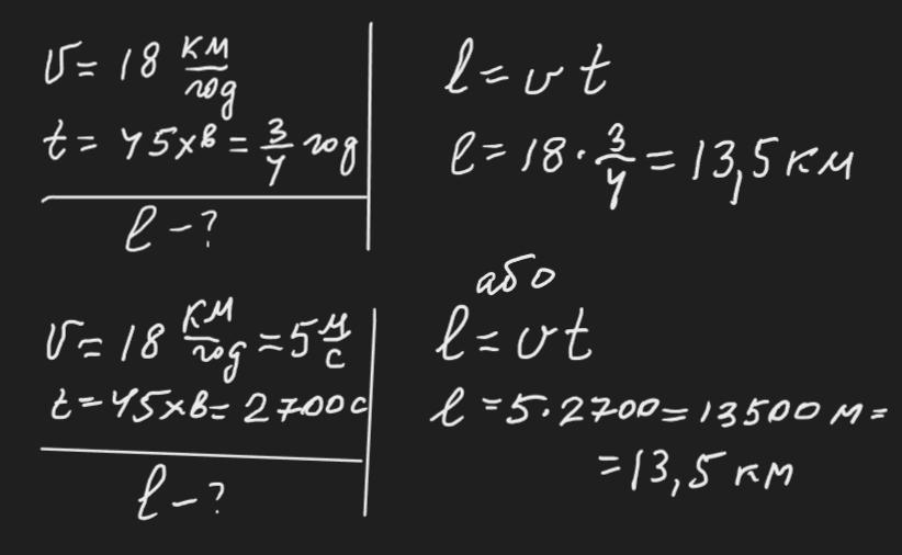
Відповідь: 13,5 км

Пояснення:

Приложения:
Вас заинтересует